삼성전기, 전장용 초고용량 MLCC (0805 inch, 47㎌, 4V) 세계 최초품 출시

  • Automotive
  • 2026.02.23

삼성전기는 0805 inch (2.0×1.25mm) 사이즈, X7T (-55 to 125°C), 정격 4V에서 정전 용량 47µF를 구현하는 Automotive Grade, 초고용량 MLCC를 세계 최초로 개발하였습니다. 최대온도 125°C까지 Derating 없이 사용 가능한 제품입니다.


자동차 분야에서는 사고 방지 및 자동 운전의 기술 혁신이 가속화됨에 따라, 안전에 대한 요구가 더욱 높아지고 있습니다. 이에 따라, 자동차의 ADAS에 탑재되는 센서나 레이더의 고성능화 처리 능력 향상에 의한 대전류화, 저전력을 위한 저전압화도 추진되고 있으며, 이러한 기기에 전력을 공급하는 전원 IC에는 소형화와 대전류화가 요구되고 있습니다. 그에 발맞추어, 자동차용 MLCC도 소형화, 초고용량화되며 발전하고 있습니다.


이에, 삼성전기는 독자적인 세라믹 및 전극 재료의 미립화 기술과 초정밀 공법을 사용하여 AEC-Q200을 충족하는 0805 inch (2.0×1.25mm) 사이즈, X7T (-55 to 125℃), 47㎌ 초고용량, 정격 4V, 제품을 개발하였으며, 자동차용 ADAS/IVI Application의 Decoupling capacitor로 추천합니다.

- 고신뢰성 (High Reliability) 및 Low ESR을 제공하여 안정적인 성능 유지

- 공간 절약 (Space Saving)을 통한 시스템 설계의 유연성 제공

ECU Block Diagram


Product Specifications

CL21Z476MRY6PN#, CL21Z226MQYVPN#, CL21Z226MRYVPN# 제품의 size, capacitance, rated voltage, tcc, data sheet, remarks 대한 정보를 제공합니다.
Samsung Size
(inch/mm)
Capacitance Related
Voltage
TCC Data
Sheet
Remarks
CL21Z476MRY6PN# 0805/2012 47µF 4V X7T World's 1st
CL21Z226MQYVPN# 0805/2012 22µF 6.3V X7T Series
CL21Z226MRYVPN# 0805/2012 22µF 4V X7T Series

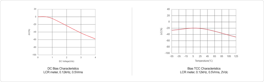
Characteristics data

샘플 요청을 포함한 추가 문의는 여기를 클릭하여 고객 문의를 남겨주세요.