Samsung Electro-Mechanics launches the world’s first automotive ultra-high-capacitance MLCC (0805 inch, 47㎌, 4V)

  • Automotive
  • 2026.02.23

Samsung Electro-Mechanics proudly presents the world’s first Automotive Grade ultra-high-capacitance MLCC which implements a capacitance of 47㎌ at a rated 4V with 0805 inch (2.0×1.25mm) size and meets X7T (-55 to 125℃) specifications. It can be used up to 125℃ without derating.


Technological innovations in the automotive field regarding accident prevention and autonomous driving are accelerating. Accordingly, requirements for safety are increasing. Hence, sensors and radars equipped on the vehicles’ ADAS are undergoing performance enhancement (higher current conversion due to improved processing capability and lower voltage conversion for lower power). Power ICs that supply power to these devices require miniaturization and a higher current conversion. In response, Automotive MLCCs are advancing by achieving miniaturization and ultra-high capacitance.


Correspondingly, Samsung Electro-Mechanics has developed a product of 0.8×0.5 inch (2.0×1.25mm) size that meets AEC-Q200 standards. This product was made by applying our proprietary ceramic and electrode material fine-particle technologies and ultra-precision stacking processes. The X7T has an operating temperature range of X7T (-55 to 125℃), an ultra-high capacitance of 47μF, and a rated voltage of 4V. We recommend our product as a decoupling capacitor for automotive ADAS/IVI applications.

- Our product provides High Reliability and Low ESR to maintain a stable performance.

- Our product enables design flexibility via Space Saving.

ECU Block Diagram


Product Specifications

Samsung Size
(inch/mm)
Capacitance Related
Voltage
TCC Data
Sheet
Remarks
CL21Z476MRY6PN# 0805/2012 47µF 4V X7T World's 1st
CL21Z226MQYVPN# 0805/2012 22µF 6.3V X7T Series
CL21Z226MRYVPN# 0805/2012 22µF 4V X7T Series

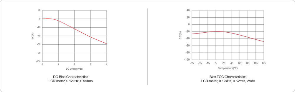
Characteristics data


Please click here for sample requests or any other inquiries.
USA (semai.newsletter@samsung.com)
EU (semcoeurope@samsung.com)
SEA (sempl.automlcc@samsung.com)